USGS - science for a changing world

Upper Midwest Environmental Sciences Center

Decision Support Systems

Basic Raster Landscape Metrics Tools

Download tool: RasterStats.tbx

In the context of Landscape Ecology, a landscape is simply an area of land (at any scale) containing patterns which affect and are affected by an ecological process of interest. Patch, a term fundamental to landscape ecology, is defined as a relatively homogeneous area that differs from its surroundings. In a raster GIS dataset, a patch is a group of contiguous cells which share the same value. Patches are the basic unit of the landscape. A class is simply a grouping of patches which are not contiguous , however, share the same or similar characteristics; for example Open Water or Forest. This toolset is designed to calculate basic metrics with which to describe a landscape.

Both tools in this toolset require an INTEGER GRID as input where the VALUE field in the GRID defines the desired class structure. For example, the VALUE field is an integer where 1 = Water and 2 = Land, or 1 = Forest, 2 = Agriculture, 3 = Water, 4 = Other. Note: the input format MUST be GRID. All other formats will cause the program to fail.
The ouput units are mapunits or sq. mapunits depending on whether it is a length or areal measurement.

For the “Basic Raster Landscape Metrics by Class” tool, the output raster attribute table is organized by class structure (one row for each landscape class) and the calculated metrics are summarized by these classes.

The metrics calculated for the “Basic Raster Landscape Metrics by Class” are:  “AREA”, “PERIMETER”, “PCT_LS” (Percent of Landscape), “NUM_PATCH” (Number of Patches), “AVE_P_AREA” (Mean Patch Area), “MIN_P_AREA” (Minimum Patch Area), “MAX_P_AREA” (Maximum Patch Area), “STD_DEV”, “SDI” (Simpson’s Diversity Index), and “SHDI” (Shannon’s Diversity Index).

For the “Basic Raster Landscape Metrics by Patch” tool, the output raster attribute table is organized by patch (one row for each landscape patch) and the calculated metrics are for an individual patch.

The metrics calculated for the “Basic Raster Landscape Metrics by Patch” are:  “AREA”, “PERIMETER”, “THICKNESS” (Radius of largest circle which can fit in patch), “X_CENTROID”, “Y_CENTROID”, “MAJORAXIS” (Major (long) Axis of Ellipse fitting Patch), “MINORAXIS” (Minor (short) Axis of Ellipse fitting Patch), and “ORIENTATION” (Angle of Ellipse fitting Patch). As the patch metrics output attribute table is organized by individual patches, not the original input classes, an additional field named LINK is included and its value is the original class the patch belonged to. So for instance, if a given patch originally belonged to Class 1 (Open Water), then the value of the LINK field will be 1, allowing the user to determine which patch belongs to which original input class.

About the Complex Metrics:

Thickness - It is the radius of the largest circle (in mapunits) that can be drawn within each zone without including any cells from outside the zone. Distance is calculated from the center of an internal zone cell to the closest edge.

Basic Raster Landscape Metrics Tools image 1

Basic Raster Landscape Metrics Tools image 2

Ellipse - A standard deviation ellipse is used, where the coordinates of the cell centers serve as the points for which the dispersion is calculated. Three fields are added to the output attribute table to describe this ellipse: “MAJORAXIS” (Major Axis of Ellipse fitting Patch), “MINORAXIS” (Minor Axis of Ellipse fitting Patch), and “ORIENTATION” (Angle of Ellipse fitting Patch).  The values of ORIENTATION are in degrees, with a possible range of 0⁰ to 180⁰. The orientation is defined as an angle between the x-axis and the major axis of the ellipse. The value of the orientation angle increases counterclockwise starting at 0⁰ (horizontal, to the right) and going through 90⁰ when the major axis is vertical. If a particular zone consists of only one cell or if the zone is a square block of cells, the fitting of an ellipse produces a circle. A circle has no Major or Minor axis so an angle cannot be calculated in this case. The value for orientation of the ellipse is then set to a default of 90⁰.

Basic Raster Landscape Metrics Tools image 3 Basic Raster Landscape Metrics Tools image 4

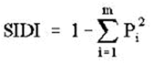
Simpson’s Diversity Index (SIDI) – a diversity measure borrowed from community ecology, applied here to landscapes. Simpson's index is less sensitive to the presence of rare types and has an interpretation that is much more intuitive than Shannon's index. Specifically, the value of Simpson's index represents the probability that any 2 pixels selected at random would be different patch types.

Basic Raster Landscape Metrics Tools image 5

0 ≤ SIDI < 1
SIDI = 0 when the landscape contains only 1 patch (i.e., no diversity). SIDI approaches 1 as the number of different patch types (i.e., patch richness) increases and the proportional distribution of area among patch types become more equitable.
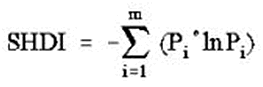
Shannon’s Diversity Index (SHDI) – a measure of diversity borrowed from community ecology, applied here to landscapes. Shannon’s index is somewhat more sensitive to rare patch types than Simpson’s diversity index.

Basic Raster Landscape Metrics Tools image 6

SHDI ≥ 0, without limit

SHDI = 0 when the landscape contains only 1 patch (i.e., no diversity). SHDI increases as the number of different patch types (i.e., patch richness) increases and/or the proportional distribution of area among patch types becomes more equitable.


Point of contact: Douglas A. Olsen


Accessibility FOIA Privacy Policies and Notices

Take Pride in America logo USA.gov logo U.S. Department of the Interior | U.S. Geological Survey

URL: http://www.umesc.usgs.gov/managment/dss/raster_landscape_tools.html
Page Contact Information: Contacting the Upper Midwest Environmental Sciences Center
Page Last Modified: December 12, 2011